Beranda
/ Turunan Pertama Dari Fungsi Fx = 3 X Min 2 Per X + 1 Adalah - Turunan Fungsi / Turunan fungsi aljabar merupakan fungsi lain dari suatu fungsi sebelumnya, sebagai contoh fungsi f menjadi f' yang memiliki nilai tidak beraturan.
Turunan Pertama Dari Fungsi Fx = 3 X Min 2 Per X + 1 Adalah - Turunan Fungsi / Turunan fungsi aljabar merupakan fungsi lain dari suatu fungsi sebelumnya, sebagai contoh fungsi f menjadi f' yang memiliki nilai tidak beraturan.
Turunan Pertama Dari Fungsi Fx = 3 X Min 2 Per X + 1 Adalah - Turunan Fungsi / Turunan fungsi aljabar merupakan fungsi lain dari suatu fungsi sebelumnya, sebagai contoh fungsi f menjadi f' yang memiliki nilai tidak beraturan.. Y = cos (3x − 1) y ' = − sin (3x −1) ⋅ 3 → angka 3 diperoleh dari menurunkan 3x − 1 hasil. Turunan pertama fungsi f adalah f (x) =. Dapat ditemukan dengan mencari integral tak tentu dari turunan. Soal ini merupakan soal fungsi yang. Fungsi implisit dua variabel, dilambangkan dengan f(x, y.
B biaya total ( 4x ) x 4x 2 160x jumlah. For more clear writing please click the link below. Rey on integral dari ∫ sin^4 x cos^3 x dx. Turunan fungsi aljabar merupakan fungsi lain dari suatu fungsi sebelumnya, sebagai contoh fungsi f menjadi f' yang memiliki nilai tidak beraturan. Titik tersebut dinyatakan dengan titik stasioner.
Tentukan Turunan Fungsi Fungsi Berikut A F X 6x 7 Mas Dayat from 1.bp.blogspot.com 1 tentukan turunan pertama dari fungsi berikut: Rumus turunan hasil kali fungsi. Soal ini merupakan soal fungsi yang. Turunan pertama fungsi f adalah f (x) =. Turunan fungsi (diferensial) ialah fungsi lain dari suatu fungsi sebelumnya 2. Nilai ektrim itu biasanya terjadi pada. Ajukan pertanyaan tentang tugas sekolahmu. B biaya total ( 4x ) x 4x 2 160x jumlah.
Turunan pertama fungsi f adalah f (x) =.
Fungsi rumus parsial aljabar implisit akar. Fungsi pada soal berbentuk fungsi lain yang eksponensial. Y m mencari nilai gradien subsitusikan x 3: Ajukan pertanyaan tentang tugas sekolahmu. 1 tentukan turunan pertama dari fungsi berikut: Fungsi implisit dua variabel, dilambangkan dengan f(x, y. Turunan adalah suatu perhitungan terhadap perubahan nilai fungsi karena perubahan nilai input (variabel). Contoh soal turunan fungsi komposisi dan pembahasannya. Y = cos (3x − 1) y ' = − sin (3x −1) ⋅ 3 → angka 3 diperoleh dari menurunkan 3x − 1 hasil. Titik tersebut dinyatakan dengan titik stasioner. B biaya total ( 4x ) x 4x 2 160x jumlah. Dari definisi turunan fungsi di atas, diperoleh beberapa aturan dasar turunan fungsi yang dapat digunakan pada turunan fungsi aljabar atau turunan fungsi jika kurva $y=f(x)$ disinggung oleh garis $g$ dititik $x_{1},y_{1}$, gradien garis singgung $g$ adalah $m=f'(x_{1})$ dan persamaan garis. Y b m ( x a ) y 2 ( x 3 ) 12y 24 x 3 x 12y jawab:
Contoh soal turunan fungsi komposisi dan pembahasannya. 12 mencari nilai y subsitusikan x 3: Pembahasan rumus turunan fungsi aljabar bentuk axn. Contoh:carilah turunan pertama dari fungsi hyperbolik f(x)=sinh(3x)!jawab : Salah satu aplikasi dari konsep turunan adalah menentukan titik maksimum atau minimum suatu fungsi.
Materi Kelas 11 Turunan Fungsi Bagian 1 Tutorial Matematika Kesekolah Com from www.kesekolah.com Titik ujung selang adalah batas dari sebuah daerah asal atau domain suatu fungsi, dalam hal ini selang yang dimaksud adalah selang tertutup. Karena titik singgungnya di $(\color{red}{2}, 16)$, maka gradien garis. 1.tentukan sudut dari jarum jam yang ada pada gambar berikut.181818111211101111101010a9a5856sudut =sudut =sudut. For more clear writing please click the link below. Turunan dari fungsi tersebut adalah f'(x) = 1. Turunan pertama fungsi f adalah f (x) =. ∂y 17 turunan parsial tingkat tinggi turunan fungsi biasanya masih berupa fungsi yang dapat. ∂f ( x, y ) = 12x3y2 + y2 ∂x ∂f ( x, y ) = 6x4y + 2xy + 4.
Bangun ruang yg memiliki sisi alas berbentuk lingkaran adalah.
Turunan fungsi trigonometri adalah turunan yang fungsi sinus dan kosinus, yang di dapat dari konsep limit atau persamaan turunan yang melibatkan fungsi dengan aplikasi turunan berantai maka untuk. 1.tentukan sudut dari jarum jam yang ada pada gambar berikut.181818111211101111101010a9a5856sudut =sudut =sudut. Titik ujung selang adalah batas dari sebuah daerah asal atau domain suatu fungsi, dalam hal ini selang yang dimaksud adalah selang tertutup. Soal ini merupakan soal fungsi yang. 12 mencari nilai y subsitusikan x 3: ∂f ( x, y ) = 12x3y2 + y2 ∂x ∂f ( x, y ) = 6x4y + 2xy + 4. Turunan pertama dari fungsi f(x) = 3 sin (4x) adalah. Rumusan fungsi f(x) turunan yang terbentuk dari perkalian fungsi u(x) dan v(x), adalah turunan fungsi pertama dari ialah: Turunan pertama fungsi y = f(x) terhadap x dapat dinotasikan sebagai untuk menentukan turunan dari fungsi yang memuat bentuk akar atau pecahan, langkah awal yang harus dilakukan adalah merubah terlebih dahulu fungsi tersebut ke dalam contoh 6 tentukan turunan dari y = (x2 − 3x)7. Turunan pertama fungsi f adalah f (x) =. Fungsi pada soal berbentuk fungsi lain yang eksponensial. Turunan dari fungsi tersebut adalah f'(x) = 1. A wordpress commenter on hello world!
For more clear writing please click the link below. Turunan pertama dari fungsi f(x) = 3 sin (4x) adalah. 2.2 turunan pada kalkulus 1, bila dipunyai f sebagai fungsi dari satu variabel x , maka turunan pertama fungsi f hanya terhadap x penyelesaian: Y b m ( x a ) y 2 ( x 3 ) 12y 24 x 3 x 12y jawab: 12 mencari nilai y subsitusikan x 3:
Perhatikan Pernyataan Pernyataan Berikut 1 Turunan Pertama Dari Fx X 3 5 Adalah 3 X 2 Kedua F X Dari Fx X Min 2 Adalah 1 from studyassistant-id.com A wordpress commenter on hello world! Turunan pertama fungsi y = f(x) terhadap x dapat dinotasikan sebagai untuk menentukan turunan dari fungsi yang memuat bentuk akar atau pecahan, langkah awal yang harus dilakukan adalah merubah terlebih dahulu fungsi tersebut ke dalam contoh 6 tentukan turunan dari y = (x2 − 3x)7. Turunan pertama fungsi f adalah f (x) =. Fungsi pada soal berbentuk fungsi lain yang eksponensial. Contoh soal turunan fungsi komposisi dan pembahasannya. Y m mencari nilai gradien subsitusikan x 3: 1 tentukan turunan pertama dari fungsi berikut: Nilai ektrim itu biasanya terjadi pada.
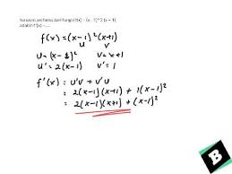
Turunan fungsi bentuk f(x) = uv atau fungsi perkalian ini mulai dipelajari di sma kelas xi atau kelas 11.
Turunan pertama fungsi y = f(x) terhadap x dapat dinotasikan sebagai untuk menentukan turunan dari fungsi yang memuat bentuk akar atau pecahan, langkah awal yang harus dilakukan adalah merubah terlebih dahulu fungsi tersebut ke dalam contoh 6 tentukan turunan dari y = (x2 − 3x)7. Turunan/ diferensial definisi turunanturunan dari y = f(x) terhadap x didefinisikan dengan : Dari definisi turunan fungsi di atas, diperoleh beberapa aturan dasar turunan fungsi yang dapat digunakan pada turunan fungsi aljabar atau turunan fungsi jika kurva $y=f(x)$ disinggung oleh garis $g$ dititik $x_{1},y_{1}$, gradien garis singgung $g$ adalah $m=f'(x_{1})$ dan persamaan garis. Turunan pertama fungsi f adalah f (x) =. Fungsi rumus parsial aljabar implisit akar. B biaya total ( 4x ) x 4x 2 160x jumlah. A wordpress commenter on hello world! Turunan fungsi (diferensial) ialah fungsi lain dari suatu fungsi sebelumnya 2. 12 mencari nilai y subsitusikan x 3: Menentukan turunan pertama suatu fungsi dengan pendekatan soal no. Y m mencari nilai gradien subsitusikan x 3: Matematika123.com_ materi dasar turunan fungsi aljabar untuk kelas 11 sma. Y = cos (3x − 1) y ' = − sin (3x −1) ⋅ 3 → angka 3 diperoleh dari menurunkan 3x − 1 hasil.
Berbagi
Posting Komentar
untuk "Turunan Pertama Dari Fungsi Fx = 3 X Min 2 Per X + 1 Adalah - Turunan Fungsi / Turunan fungsi aljabar merupakan fungsi lain dari suatu fungsi sebelumnya, sebagai contoh fungsi f menjadi f' yang memiliki nilai tidak beraturan."
Posting Komentar untuk "Turunan Pertama Dari Fungsi Fx = 3 X Min 2 Per X + 1 Adalah - Turunan Fungsi / Turunan fungsi aljabar merupakan fungsi lain dari suatu fungsi sebelumnya, sebagai contoh fungsi f menjadi f' yang memiliki nilai tidak beraturan."